2022年欧洲ESMO大会精彩集锦|四大新抗癌技术横空出世
ESMO大会是欧洲最具影响力的肿瘤学平台,也是全球最大的肿瘤盛会之一,致力于让癌症患者获得最佳结果。2022年9月9日至13日的欧洲肿瘤学会年会盛大召开。此次盛会上,四种全新的抗癌疗法横空出世,为病友们点亮希望之光!
一、CAR-T联合癌症疫苗威力大增!已有患者完全缓解
这款在今年ESMO大会上备受瞩目的新一代CAR-T疗法代号为BNT211,是一种靶向 Claudin-6 (CLDN6) 的 CAR T 细胞疗法,联合疗法还包含了编码Claudin-6 (CLDN6) 的mRNA疫苗CARVac,疫苗会在抗原呈递细胞表面表达CLDN6,能够刺激体内CAR-T细胞的扩增。
关于Claudin-6 (CLDN6) ,是一种在各种实体瘤中广泛表达,而在正常组织中不存在的理想靶标,如卵巢癌、睾丸癌、肺腺癌、子宫癌等多种癌症类型中都会存在CLDN6过表达。因此,BNT211疗法有望成为CLDN6 阳性癌症患者的新希望。
联合疗法会先给患者输注低剂量的CLDN6 CAR-T,然后给患者注射CARVac疫苗。这种新型的组合具有更高的持久性,提高了肿瘤细胞的杀伤力,从而达到1+1>2的抗癌效果。
2022年ESMO盛会上,BNT211-01 作为单一疗法和与 CLDN6 编码 的mRNA 疫苗联合使用的1/2a 期试验 (NCT04503278) 公布了最新的卓越数据。
截止 2022 年 8 月 16 日,对 21 名可评估患者的疗效评估显示,最佳总缓解率 (ORR) 为 33%,疾病控制率 (DCR) 为 67%,其中1名完全缓解(CR)、6名部分缓解(PR)和7名患者病情稳定(SD)。这意味着,超过60%的患者病情控制稳定或显著缩小30%以上,甚至完全消失!
特别值得一提的是,这款联合疗法的第2剂量组在睾丸癌患者中(n=7)显示出了更强的抗癌效果,客观缓解率 (ORR)高达57%,疾病控制率 (DCR) 高达85%。
比如这位幸运的患者,61岁的M先生,被确诊为晚期睾丸癌,接受了6线化疗方案失败后,肿瘤转移至肺等多部位。幸运的是,当1亿个能够精准识别癌细胞的CAR-T大军回输到M先生体内后,仅12周,肺部的转移灶全部消失,评效达到完全缓解的状态。
研究人员兴奋的说“单独或与 CARVac 联合输注 CLDN6 CAR T 是安全的,并且对 CLDN6 阳性癌症患者有希望,CLDN6 这种方法已经显示出疗效,可能优于其他实体瘤 CAR T 试验的数据。”
我们期待这款疗法能早日公布更多卓越数据,尽快上市,造福更多患者!
二、疾病控制率高达81%!新型T细胞疗法对多种实体肿瘤有效
众所周知,截止到目前为止,所有的针对实体肿瘤的细胞免疫疗法中,都没有取得像血液肿瘤的CAR-T疗法的高有效率,这是因为实体肿瘤中缺乏特异性高的肿瘤抗原。
近期,这一瓶颈终于被突破!研究人员经过多年研究发现MAGE-A4是一种非常理想的,存在于多种实体肿瘤的特性性癌抗原。因此研究人员专门研发了一种新型的专门针对MAGE-A4癌症抗原的TCR-T技术-ADP-A2M4。
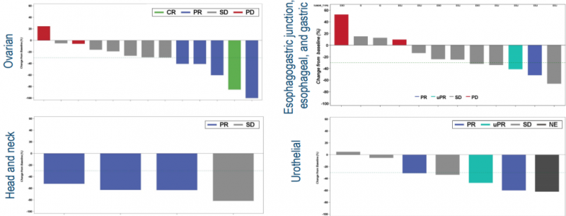
在今年ESMO大会上刚刚公布的临床试验数据显示,共纳入了44名平均接受过3种全身治疗,临床上可以说是没有任何标准治疗方案的极晚期患者,包括恶性程度极高的滑膜肉瘤,卵巢癌,头颈癌,胃癌,粘液样/圆形细胞脂肪肉瘤,非小细胞肺癌,尿路上皮癌,食道癌和黑色素瘤。
这些患者在接受ADP-A2M4 T细胞治疗后,产生了强烈的响应。
结果显示:总体确认的客观缓解率为 28%(n = 12/44);还有5% 的患者 (n = 2) 待影像确认,这意味着近30%的晚期患者肿瘤缩小了30%以上;更值得一提的是,疾病控制率达到了81%,这意味着大部分晚期患者的病情在接受TCR-T治疗后得到了有效控制。
其中,卵巢癌、头颈癌、尿路上皮癌的疾病控制率高达100%!
比如这位幸运的患者,69岁的M先生,被确诊为4期头颈癌,接受了化疗和PD-1治疗后病情仍不断进展,肿瘤转移至肺等多部位。幸运的是,经过检测存在MAGE-A4高表达,当50亿能够精准识别癌细胞的TCR-T大军回输到M先生体内后,仅4周,肿瘤快速消退,达到部分缓解!
目前,ADP-A2M4的研究正在进行针对MAGE-A4肉瘤的II 期试验,我们也期待这款新型疗法能够早日完成临床验证,获批造福更多的患者。
三、疾病控制率100%!结直肠癌患者迎来重磅新药
近期,Mirati Therapeutics公司公布了Adagrasib单药,或与EGFR抑制剂cetuximab联用,治疗携带KRAS G12C基因突变的晚期经治结直肠癌患者的最新临床试验结果,引起了巨大轰动。这项结果也将于2022年9月12日的欧洲肿瘤学会年会上报告。
在这项大名鼎鼎代号为KRYSTAL-1 的 1/2 期试验 (NCT03785249)中, 44名患者接受了单药adagrasib治疗,32 名患者接受了Adagrasib联合全剂量西妥昔单抗治疗。
结果显示:
在43名单独使用adagrasib治疗的可评估患者中,客观缓解率(ORR)为19%(8/43),疾病控制率(DCR)为86%(37/43)。
在28名adagrasib+西妥昔单抗治疗的可评估患者中,客观缓解率(ORR)为 46%(13/28),疾病控制率(DCR)高达100%(28/28)。
研究人员说,晚期结直肠癌患者的预后一直很差,对治疗的反应率约为 1-2%,中位 无进展生存期仅为2 个月左右,而携带KRAS G12C突变的 结直肠癌患者的预后往往更差。
Adagrasib(MRTX849,阿达格拉西布)为KRAS G12C突变的结直肠癌患者带来了救赎。
比如这位幸运的患者,晚期结直肠癌全身转移,肝脏、腹膜、卵巢、淋巴结都是肿瘤...基因检测显示存在KRASG12C突变,接受MRTX849(Adagrasib,阿达格拉西布,)治疗后,仅两个周期就达到了部分缓解,肿瘤缩小了37%;接受3周期的治疗后,病灶缩小47%,将近一半!并且临床症状得到了明显的改善,转移到肚脐的玛丽·约瑟夫结节也明显的缩小了。
截至文献发表的时候,患者仍在接受MRTX849的治疗。
好消息是,这款美国的抗癌“特药”将同步在中国开启临床试验,加快在中国的上市步伐,中国KRAS患者终于等到了希望!更值得一提的是,已经有病友成功入组接受治疗。
注:做了基因检测的病友可以拿出报告看看一旦存在KRAS突变,可以马上联系全球肿瘤医生网医学部看看是否有机会接受国内新药治疗,看不懂的病友也可以致电全球肿瘤医生网医学部解读报告。
四、生存期翻倍,已有患者完全缓解!TIL疗法为癌症患者带来新曙光
众所周知,黑色素瘤患者的标准治疗方案之一是免疫检查点抑制剂依匹单抗,为了寻找更好的治疗方案,研究人员首次将新型免疫疗法TIL与标准治疗(依匹单抗 ipilimumab)进行对比,这项突破性结果非常振奋人心。
在这项代号为M14TIL 的3 期临床试验中,研究人员将 168 名不可切除的 IIIC-IV 期黑色素瘤患者随机分配接受依匹单抗免疫治疗(84名)或 TIL 细胞免疫治疗(84名),值得一提是,这其中89%的患者都是接受过PD-1治疗失败的难治型患者。
在2022年ESMO大会上首次报告的结果显示:
接受 TIL细胞治疗(50~200亿个TIL细胞回输)的患者的中位无进展生存期显着延长,为 7.2 个月,而接受 ipilimumab 治疗的患者为 3.1 个月;
与 ipilimumab相比,TIL 治疗的客观缓解率 (ORR)为48.8% & 21.4%,完全缓解率(CR)为20.2% & 7.1%,均增加了1倍以上。
值得一提的是,完全缓解率20.2%意味着17名患者接受治疗后,靶病灶完全消失!
并且,与 ipilimumab 治疗相比,随机接受肿瘤浸润淋巴细胞 (TIL) 治疗的患者疾病进展或死亡减少 50%!
这意味着,与标准免疫治疗相比,这种全新的个体化细胞免疫治疗策略显着提高了晚期黑色素瘤患者的无进展生存期。
荷兰癌症研究所的 John Haanen 博士说:“这绝对是在改变实践,这项研究首次在一项随机对照试验中表明,细胞疗法对实体癌患者有效且有益。这项第 3 阶段研究的结果可能会导致监管批准,这将改变晚期癌症患者的治疗选择。”目前,荷兰研究人员现在正在努力让TIL 疗法获得欧盟的批准,并且没有商业参与,以确保这项疗法可以让更多患者负担得起,不受商业压力的影响。
除此之外,还有众多的研究进展,敬请期待全球肿瘤医生网医学部后续报道。
我们生活在肿瘤治疗的分子革命中,越来越多的癌症患者通过一代一代的靶向药和免疫治疗药物获得了更长的生存期,甚至把肿瘤吃没了。进入靶向免疫治疗时代,每个癌症的患者都应该通过基因检测,PD-L1,TMB分析,获得更多用药方案指导。我们已经了解了很多关于癌症的分子遗传学以及如何将它转化临床治疗决策。未来还将有更多。


































